Обращение к океану для борьбы с устойчивостью к антибиотикам

Обращение к океану для борьбы с устойчивостью к антибиотикам
Обращение к океану для борьбы с устойчивостью к антибиотикам

Исследователи обнаружили, что морской микроб может препятствовать образованию биопленки патогена

Изображение
Изображение

Когда в 1945 году впервые были выпущены антибиотики, концепция резистентности, хотя и существовала, не считалась серьезной угрозой. За последние семьдесят лет эта точка зрения значительно изменилась. В настоящее время устойчивость к антибиотикам является одной из самых серьезных проблем, стоящих перед здоровьем человека.

Хотя естественное развитие резистентности происходит естественным образом, этому процессу можно способствовать в матрице биопленки. Эти микроколонии бактерий представляют собой идеальное место для разбавления антибиотика до сублетального уровня. Когда это происходит, отдельные клетки могут эволюционировать, чтобы выработать механизмы, позволяющие выдерживать существование химического вещества. Если позволить продолжаться, толерантность может в конечном итоге перерасти в полномасштабную устойчивость к любой концентрации.

Удаление биопленок, однако, - непростая задача. Они представляют собой высокостабильные структуры на молекулярном уровне и обладают сильными адгезионными свойствами. Для их удаления требуются определенные физические манипуляции, такие как обработка ультразвуком или химические средства, такие как ферменты и дезинфекция. Хотя это может быть полезно в лаборатории, в клинических условиях эти варианты обычно неосуществимы.

Идентификация мер контроля биопленки в медицинских учреждениях была целью исследований более двадцати лет. Исследования включали различные химические варианты, а также модифицированные технологии физического разрушения. Однако достигнут небольшой успех. По сути, чтобы найти жизнеспособный вариант борьбы с этими естественными структурами, может потребоваться естественное решение.

Охота за природными химическими веществами набрала обороты более десяти лет назад, хотя окружающая среда была не клиникой, а морем. Биопленки также участвуют в обрастании морской структуры. В 2000 году различные натуральные продукты из морских бактерий каким-то образом обладали способностью снижать вероятность образования биопленки. Вскоре после этого, в 2004 году, метаболит морского лишайника, известный как усниновая кислота, также продемонстрировал способность уничтожать биопленки. Это открыло двери для нового направления в борьбе с биопленкой, в котором океан стал потенциально бесконечным источником средств против биопленки.

Теперь к списку можно добавить еще одну группу морских химикатов. На прошлой неделе международная группа исследователей опубликовала информацию об открытии нового ингибитора биопленки, обнаруженного в морской бактерии, принадлежащей к одному из самых исторических родов в истории антибиотиков, Streptomyces. Как выяснилось, у этого вида был невиданный ранее механизм контроля над биопленками.

Команда изучила морские отложения, взятые с острова Пунта-Мона в районе Гандока-Мансанильо в Коста-Рике. Бактерии были выращены в лаборатории, а затем протестированы против бактерии, производящей биопленку, Acinetobacter baumannii, которая известна своей способностью вызывать инфекции, связанные с оказанием медицинской помощи. Как только они нашли вид, способный ингибировать биопленки, они приступили к работе по идентификации активных молекул.

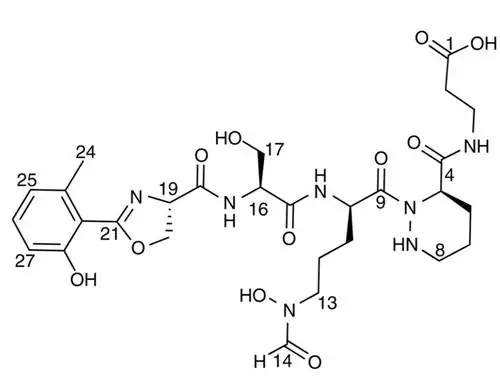
Из коллекции бактерий был обнаружен и подвергнут дальнейшему анализу относительно новый вид Streptomyces gandocaensis. Используя метод мутации антибиопленочной активности, команда смогла отточить группу молекул, выполняющих это действие. Они представляли собой небольшие вторичные метаболиты, образующиеся в ответ на стрессовые факторы окружающей среды. Подобно видам, эти молекулы также были новыми, и группа выбрала название кахуитамицины (предположительно, в честь региона Кауита в Коста-Рике).

Сначала были обнаружены три природных кахуитамицина, названные от А до С. Когда были проведены тесты, чтобы определить, какие из них были наиболее эффективными, A и C были лучшими. Однако после некоторого мутационного анализа штаммов, полученных в лаборатории, были получены еще две версии молекулы, D и E. Аналог D имел почти двукратное увеличение ингибирующей активности по сравнению с природными молекулами.

По мнению авторов, как C, так и D продемонстрировали наилучший потенциал для использования в прикладных условиях в здравоохранении. Эти кахуитамицины можно использовать в качестве покрытий для различных медицинских устройств, таких как катетеры, чтобы предотвратить образование биопленок. Это может повысить вероятность безопасного медицинского вмешательства, а также снизить вероятность осложнений из-за инфекции.

Помимо обнаружения кахуитамицинов, это исследование также предлагает заглянуть в будущее тем, кто ищет молекулы антибиотиков и антибиопленок. Как и ожидалось, можно многое узнать, глядя в океаны мира. На морском дне могут лежать бесчисленные возможности, ожидающие своего открытия. Но что еще более важно, как только подходящие организмы будут найдены, они могут быть подвергнуты дальнейшему анализу и изучению мутаций в лаборатории для выявления еще более эффективных аналогов.

Хотя идея использования мутировавших штаммов бактерий может показаться сложной, эта практика не нова при обсуждении медицинских открытий. В химии эти типы изменений являются основой для разработки новых лекарств. Единственная разница в том, что в отличие от синтетических путей в химии эти изменения совершенно естественны. Более того, поскольку они выполняются внутри бактерии, масштабирование может быть еще проще, поскольку единственным требованием для массового производства будет инкубационный сосуд большего размера.